Predecir pases satelitales por tu localitazión desde tu navegador

¿Quieres saber a qué hora y por dónde ver pasar la Estación Espacial Internacional (ISS) o un satélite de radioaficionados? En nuestra sección "Pases Satelitales" tienes un widget gratuito que calcula AOS (aparición sobre el horizonte), máxima elevación y LOS (pérdida) para tu ubicación, y dibuja la traza sobre un mapa. Funciona en computador y en celular, sin instalar nada.

¿Cómo lo calcula? (mecánica y matemática, sin humo)

1) Elementos orbitales (TLE)

El programa descarga los Two-Line Element sets (TLE) desde CelesTrak. Un TLE describe el estado orbital en un instante de referencia y permite predecir la trayectoria durante días/semanas.

Cada TLE trae, entre otros:

  • i: inclinación orbital

  • Ω: ascensión recta del nodo ascendente

  • e: excentricidad

  • ω: argumento del perigeo

  • M: anomalía media

  • n: media de movimiento (vueltas/día)

2) Propagación con SGP4

Con esos parámetros el widget usa SGP4 (Simplified General Perturbations 4, un conjunto de modelos matemáticos que predicen las órbitas de satélites y escombros espaciales en la Tierra) para llevar la órbita desde la época del TLE hasta “hora + ventana elegida”. La salida es la posición del satélite en coordenadas ECI (centro de la Tierra, inerciales).

3) De la órbita al observador

  • Convierte ECI → ECF (solidaria a la Tierra) usando el ángulo sideral.

  • Convierte ECF → geodésicas (latitud/longitud) para trazar el mapa.

  • En la ubicación del usuario (lat, lon, alt) calcula la línea de visión en el marco ENU (Este-Norte-Arriba).
    Desde ENU obtenemos:

    • Azimut: ángulo contado desde el Norte hacia el Este (0°=N, 90°=E, 180°=S, 270°=O).

    • Elevación: ángulo sobre el horizonte (positivo si está por encima).

4) AOS, máximo y LOS con búsqueda numérica

El algoritmo recorre la ventana de tiempo (por ejemplo, 72 h) con un paso temporal (por ejemplo, 10 s).

  • Detecta el cruce de la elevación mínima (umbral) hacia arriba → AOS.

  • Detecta el cruce hacia abajo → LOS.

  • Para el instante exacto del cruce usa bisección entre muestras vecinas.

  • Para la máxima elevación entre AOS y LOS usa búsqueda ternaria.

Parámetros clave (y por qué importan)

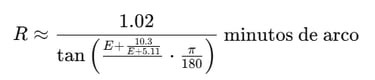
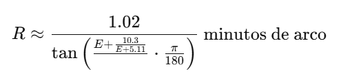
Refracción de Bennett (opcional, activada por defecto) Cerca del horizonte la atmósfera curva los rayos y “eleva” ópticamente los objetos. El widget puede aplicar la corrección empírica de Bennett:

donde E es la elevación aparente en grados.

  • Si E ≤ −1, el ajuste se anula.

  • Cerca del horizonte añade ~1–2′ (minutos de arco), afectando ligeramente AOS/LOS y la elevación máxima.

  • Si comparas con otras páginas, asegúrate de que usen el mismo modelo (con o sin refracción).

Elevación mínima (umbral)

Es el “filtro” de pases útiles. Por defecto 15°:

  • Menos ruido de interferencias y obstáculos.

  • Menos “raspadas” de horizonte que pocas veces son observables.
    Subirla reduce el número de pases pero mejora la calidad (más altos y largos).

Resolución temporal

El paso de muestreo (5–30 s) afecta la precisión cruda antes de la bisección/ternaria. Valores pequeños = más precisión y más cálculo. 10 s es un equilibrio excelente.

Zona horaria y UTC

Puedes ver los horarios en tu hora local o en UTC (ideal para coordinar con otros operadores).

Qué encontrarás en la pantalla

  • TLE y selección de satélite

    • ISS (por defecto)

    • Catálogo Amateur (CelesTrak)

    • O pegar un TLE manual

  • Ubicación

    • Lista de ciudades de Centroamérica o coordenadas personalizadas (lat, lon, altitud).

  • Parámetros

    • Elevación mínima, ventana (24/48/72 h), resolución, refracción Bennett, zona horaria.

  • Resultados

    • Tabla con: AOS, Az AOS, Máximo, El máx, Az máx, LOS, Az LOS, Duración.

    • Mapa: traza global (gris) y tramo útil AOS→LOS (verde); marcas con hora en negro.

  • Exportación

    • CSV con la tabla y un croquis del mapa del paso seleccionado.

  • Adicionalmente se agrega columna de Magnitud (est.) en la tabla.
    La magnitud se estima de forma experimental:

    • Solo se calcula si el satélite está iluminado por el Sol y el observador está en crepúsculo/noche (Sol a < –6°).

    • Se usa un modelo lambertiano sencillo con fase y distancia al satélite.

      • Para la ISS aplico una constante de brillo más alta (puede llegar a –5).

      • Para otros satélites uso una constante genérica más tenue.

    • Verás valores tipo –3.1, –1.8, 0.4, etc. (más negativo = más brillante).

    • Si no es visible (día, sombra, etc.) verás .

    Nota: la fotometría real depende de actitud/orientación y superficies del satélite, por eso lo marcamos como “est.” (estimado).